انتخاب درایو کنترل دور و یا راه انداز نرم با توجه به نیازهای شما بخش دوم
در بخش اول این مقاله که با عنوان انتخاب درایو فرکانس متغیر و یا راه انداز نرم با توجه به نیازهای شما بخش اول منتشر شده است در ارتباط با ساختار داخلی راه انداز نرم و درایو کنترل دور توضیحاتی ارائه شده است. در این مقاله ضمن تکمیل موارد گفته شده، نگاه دقیق تری به ساختار داخلی درایو کنترل دور می اندازیم و تفاوت های عمده این دو محصول و نحوه انتخاب بهترین گزینه بین آن ها را بیان خواهیم کرد. لطفا با ما همراه باشید.
کاربردهای اصلی درایوهای کنترل دور:
- کنترل دقیق و کامل در تمامی سرعت ها مورد نیاز باشد.
- صرفه جویی در انرژی مد نظر باشد.
- کنترل موتور به صورت دستی و لحظه ای در نظر گرفته شود.

درایوهای کنترل دور چگونه کار می کنند؟
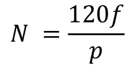
حال می خواهیم بررسی دقیق تری بر روی کارکرد درایوهای کنترل دور داشته باشیم. همانطور که پیش تر گفته شده، درایوهای کنترل دور فرکانس و ولتاژ ثابت در ورودی توان را به فرکانس و ولتاژ قابل تغییر در خروجی، که مرجع کنترل سرعت موتورهای AC القایی می باشد، تبدیل می کند. فرکانس خروجی که از سمت درایوهای کنترل دور به یک موتور AC اعمال می شود و سرعت موتور را تعیین می کند، بر اساس معادله زیر محاسبه می شود:

که در این رابطه (N = speed (RPM یا همان سرعت موتور بر حسب دور بر دقیقه، (f = frequency (Hz فرکانس اعمالی به موتور، و p = number of motor poles تعداد قطب های موتور القایی را مشخص می کنند. تغذیه AC که از شبکه برق اصلی برای درایو کنترل دور تامین می گردد معمولا دارای ولتاژهای 230، 380، 415، 480، 575 یا 690 و با فرکانس های 50 یا 60 هرتر می باشد. همانطور که میدانیم در شبکه برق ایران، برق ورودی سه فاز که برای درایو کنترل دور تامین می گردد، 380 ولت و 50 هرتز می باشد.
چوک های سری استفاده شده به همراه خازن های باس DC در کنار یکدیگر باعث توان یکسو شده توسط دیودهای یکسوساز را مسطح تر کنند و یک توان کاملا DC و بدون ریپل را در ورودی اینورتر تامین نمایند. سپس اینورترها با کمک تکنولوژی عرض پالس مدولاسیون (pulse-width modulation) و انجام کلید زنی های متعدد، یک خروجی شبه سینوسی به عنوان تغذیه موتور تامین می نمایند.
نحوه انجام کلید زنی و مدولاسیون در شکل زیر نمایش داده شده است. هر چه تعداد کلید زنی بیشتر باشد، شکل موج خروجی درایوهای کنترل دور بیشتر به یک سینوسی کامل شبیه می شود. اما از سوی دیگر، کلیدزنی با فرکانس بالاتر گرمای بیشتری تولید می کند.

مزایای استفاده از درایوهای کنترل دور:
- سرعت کاملا قابل تغییر برای کاربردهای مختلف نظیر پمپ ها، نوار نقاله، فن ها و غیره.
- استارت، استپ، افزایش و کاهش سرعت کنترل شده.
- کنترل گشتاور دینامیک.
- حرکت نرم و یکنواخت برای کاربردهای خاص نظیر آسانسور.
- قابلیت کارکرد دائمی در سرعت های غیر نامی درایوهای کنترل دور را برای کاربردهایی صنعتی نظیر میکسر و آسیاب به یک گزینه بسیار مناسب تبدیل می کند.
- ویژگی های ارتباطاتی، محافظتی، و قابلیت برنامه ریزی PLC
- ورودی ها و خروجی های دیجیتال و آنالوگ متعدد (DI/DO or AI/AO) و رله های خروجی
- کاهش پیک توان مصرفی و هم چنین کاهش توان مصرفی در شرایط غیر نیاز

صرفه جویی انرژی Energy Saving
درایو کنترل دور بهترین میزان صرفه جویی انرژی برای کاربردهای پمپ و فن را به همراه دارد. با توجه به این که با کمک درایو کنترل دور میزان جریان آب و یا جریان هوای خروجی قابل تغییر می باشد، می توان، مطابق شکل زیر، میزان خروجی درایو کنترل دور را دقیقا با میزان مصرف انرژی منطبق ساخت. پمپ های سانتریفیوژی که در فن ها، پمپ ها، و کمپرسورها کاربرد دارند مطابق با نمودار زیر تغییرات دارند.

در این پمپ ها فشار با توان دوم سرعت و توان خروجی با توان سوم سرعت رابطه دارد. مورد دوم اهمیت بسیاری دارد از آنجایی که با کاهش سرعت، توان خروجی به صورت درجه سوم کاهش می یابد. برای مثال اگر سرعت موتور تنها 20 درصد کاهش یابد، یعنی موتور با 80 درصد سرعت نامی خود کار کند، توان خروجی درایو کنترل دور و موتور به میزان 50 درصد کاهش می یابد و نصف می شود. این روابط در ادامه نشان داده شده اند. این مهم بیانگر توانایی بالای درایو کنترل دور در صرفه جویی مصرف انرژی دارد. ( درایو کنترل دور چگونه انرژی مصرفی برق را به حداقل می رساند؟ )

انتخاب درایو کنترل دور یا راه انداز نرم مناسب برای کنترل موتور
انتخاب یک راه انداز نرم یا درایو کنترل دور مناسب اغلب به کاربرد مورد نیاز شما بستگی دارد. راه انداز نرم در مقایسه با درایو کنترل دور کوچکتر و ارزان تر هستند. این قضیه در کیلووات های بالاتر نمود بیشتری به خود می گیرد. درایو کنترل دور با توان های بالا نسبت به راه انداز نرم با توان مشابه، فضای بیشتری را اشغال می کنند و گرانتر نیز هستند.
با این حال، اگرچه درایو کنترل دور هزینه ابتدایی خرید بیشتری به نسبت راه انداز نرم دارد، اما می تواند تا 50٪ کاهش مصرف انرژی را به همراه داشته باشد، بنابراین باعث صرفه جویی هزینه عملیاتی در طول عمر تجهیزات می شود. کنترل سرعت از دیگر مزایای درایو کنترل دور است. درایو کنترل دور همچنین می تواند عملکرد انعطاف پذیرتری (از جمله اطلاعات عیب یابی دیجیتال) را نسبت به نرم راه انداز نرم فراهم کند.
باید توجه داشت که هزینه VFD در ابتدا دو تا سه برابر بیشتر از یک راه انداز نرم است. بنابراین، اگر به کاربردهای شتاب ثابت و کنترل گشتاور نیازی نیست و فقط در هنگام راه اندازی به محدودیت جریان نیاز دارید، راه انداز نرم یک راه حل مقرون به صرفه تر برای نیازهای شما می باشد.
برای بررسی دقیق تر در ارتباط به تفاوت های درایو کنترل دور و راه اندازهای نرم و انتخاب هر چه بهتر بین این دو محصول، مراجعه به مقالات مقایسه_سافت_استارتر_با_درایو_کنترل_دور و تفاوت های اساسی راه انداز نرم و درایو کنترل دور( اینورتر) که در قسمت مقالات سایت لیان الکتریک ویرا منتشر شده است توصیه می شود.
امیدواریم که این مقاله برای شما مفید واقع شده باشد. در صورت تمایل به کسب اطلاعات بیشتر در ارتباط با درایوها و راه اندازهای نرم می توانید سایر مقالات موجود را نیز مطالعه بفرمایید. هم چنین برای کسب اطلاعات بیشتر در ارتباط با این محصولات می توانید با متخصصان مجرب شرکت لیان الکتریک ویرا تماس حاصل فرمایید.



بدون دیدگاه